2023-03-31


ggplot(data = penguins) +
geom_point(
mapping = aes(x = bill_length_mm, y = bill_depth_mm),
stat = "identity",
position = "identity"
) +
coord_cartesian() +
facet_null()Data should be in tidy format for ggplots
mpg# A tibble: 234 × 11
manufacturer model displ year cyl trans drv cty hwy fl class
<chr> <chr> <dbl> <int> <int> <chr> <chr> <int> <int> <chr> <chr>
1 audi a4 1.8 1999 4 auto… f 18 29 p comp…
2 audi a4 1.8 1999 4 manu… f 21 29 p comp…
3 audi a4 2 2008 4 manu… f 20 31 p comp…
4 audi a4 2 2008 4 auto… f 21 30 p comp…
5 audi a4 2.8 1999 6 auto… f 16 26 p comp…
6 audi a4 2.8 1999 6 manu… f 18 26 p comp…
7 audi a4 3.1 2008 6 auto… f 18 27 p comp…
8 audi a4 quattro 1.8 1999 4 manu… 4 18 26 p comp…
9 audi a4 quattro 1.8 1999 4 auto… 4 16 25 p comp…
10 audi a4 quattro 2 2008 4 manu… 4 20 28 p comp…
# ℹ 224 more rows
Data inside ggplot()
ggplot(data = mpg)Data piped to ggplot()
mpg |>
ggplot()Process data before plotting
mpg |>
filter(class != "2seater") |>
mutate(class = str_to_sentence(class)) |>
ggplot()Specify columns for x and y
Equivalent but not ideal. Why?
This is how we’ll do it
There are many different ways of representing data on a plot
Add geom_point()
mpg |>
ggplot(aes(x = displ, y = hwy)) +
geom_point()How is this different? What are advantages/disadvantages?
mpg |>
ggplot() +
geom_point(aes(x = displ, y = hwy))#
mpg |>
ggplot(aes(x = displ, y = hwy)) +
geom_smooth()mpg |>
ggplot(aes(x = displ, y = hwy)) +
geom_point() +
geom_smooth()mpg |>
ggplot(aes(x = displ, y = hwy)) +
geom_smooth() +
geom_point()mpg |>
ggplot(aes(x = displ, y = hwy)) +
geom_point() +
geom_smooth(method = "lm")mpg |>
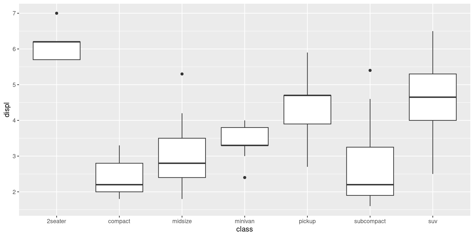
ggplot(aes(x = class, y = displ)) +
geom_boxplot()